数学徒然草:五角形と黄金比
正五角形ABCDEに5本の対角線を引き、 小さな正五角形FGHIJをつくります。大きな正五角形ABCDEと小さな正五角形FGHIJの面積比を求めましょう

とりあえず、五角形の内角の和は180°×(5-2)=540°でした。正五角形では、この540°を5等分しているので、一つの内角は108°になります。

二等辺三角形ABEに着目すると、底角は36°とわかります。

二等辺三角形EADについても、同様に底角は36°とわかります。

●=36°、○=72°とすると、下の図のように、二等辺三角形がたくさん現れます。正五角形ABCDEの一辺の長さを1、EJ=JA=xとおきましょう。

三角形ABEと三角形JAEは相似になるので、辺の長さについての方程式がつくれます。

小さな正五角形の一辺の長さFJを求めましょう。

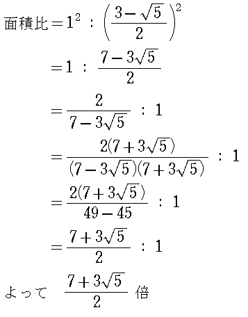
大きな正五角形ABCDEと小さな正五角形FGHIJの相似比を求めましょう。相似比は辺の長さの比で計算できます。

相似比がa:bならば、面積比はa
2:b
2で求まります。

ちなみに、正五角形ABCDEの対角線の長さ(例えばBE)は(1+√5)/2となりますが、一辺の長さと対角線の長さの比『1:(1+√5)/2』は『黄金比』と呼ばれ、自然界・科学・文化・芸術など、様々な美しい形に潜んでいる神秘的な存在であることが知られています。